Mời các thí sinh có tên trong danh sách, có mặt tại trường Cao đẳng Y tế Đồng Nai, địa chỉ : KP9 - Phường Long Bình - Đồng Nai (địa chỉ cũ : Khu phố 9, phường Tân Biên, TP. Biên Hòa, Đồng Nai) để làm thủ tục nhập học
I. Khi nhập học thí sinh cần mang theo các giấy tờ và sắp xếp theo đúng trình tự sau:
1. Giấy triệu tập trúng tuyển (bản chính nhận TẠI TRƯỜNG).
2. Lý lịch học sinh, sinh viên (tải mẫu tại đây).
3. Căn cước công dân (01 bản sao).
4. Giấy chứng nhận là đối tượng ưu tiên (dân tộc ít người, con thương binh – liệt sĩ…).
5. Học bạ THPT (01 bản sao có công chứng), bằng tốt nghiệp THPT hoặc bằng bổ túc THPT (hoặc Giấy chứng nhận tốt nghiệp tạm thời).
6. Bằng tốt nghiệp THPT hoặc bổ túc THPT (01 bản sao có công chứng).
Lưu ý: Đối với ngành Cao đẳng Dược chính quy, điều kiện để làm thủ tục nhập học khi thí sinh đã tốt nghiệp THPT hoặc bổ túc THPT.
II. Thời gian và địa điểm tiếp nhận hồ sơ nhập học:
1. Thời gian nhận hồ sơ nhập học: từ 29/7/2025 đến 15/8/2025.
2. Địa điểm nhận hồ sơ:
- Phòng Công tác Chính trị học sinh, sinh viên – Trường Cao đẳng Y tế Đồng Nai, Khu phố 9 - phường Long Bình - Đồng Nai.
3. Nộp học phí: Bộ phận kế toán – Trường Cao đẳng Y tế Đồng Nai.
III. Đăng ký ở ký túc xá:
* Liên hệ với Ban quản lý KTX khi đến làm thủ tục nhập học.
Mọi thắc mắc về thủ tục, hồ sơ nhập học xin liên hệ:
+ Phòng Công tác Chính trị Học sinh – Sinh viên: 0251.22.11.152 Hoặc Hotline: 0963.64.65.10
+ Phòng Tài chính Kế toán: 0251.22.11.150
+ Phòng Quản lý Đào tạo: 0251.22.11.154
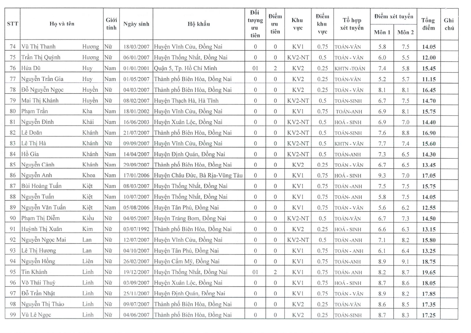
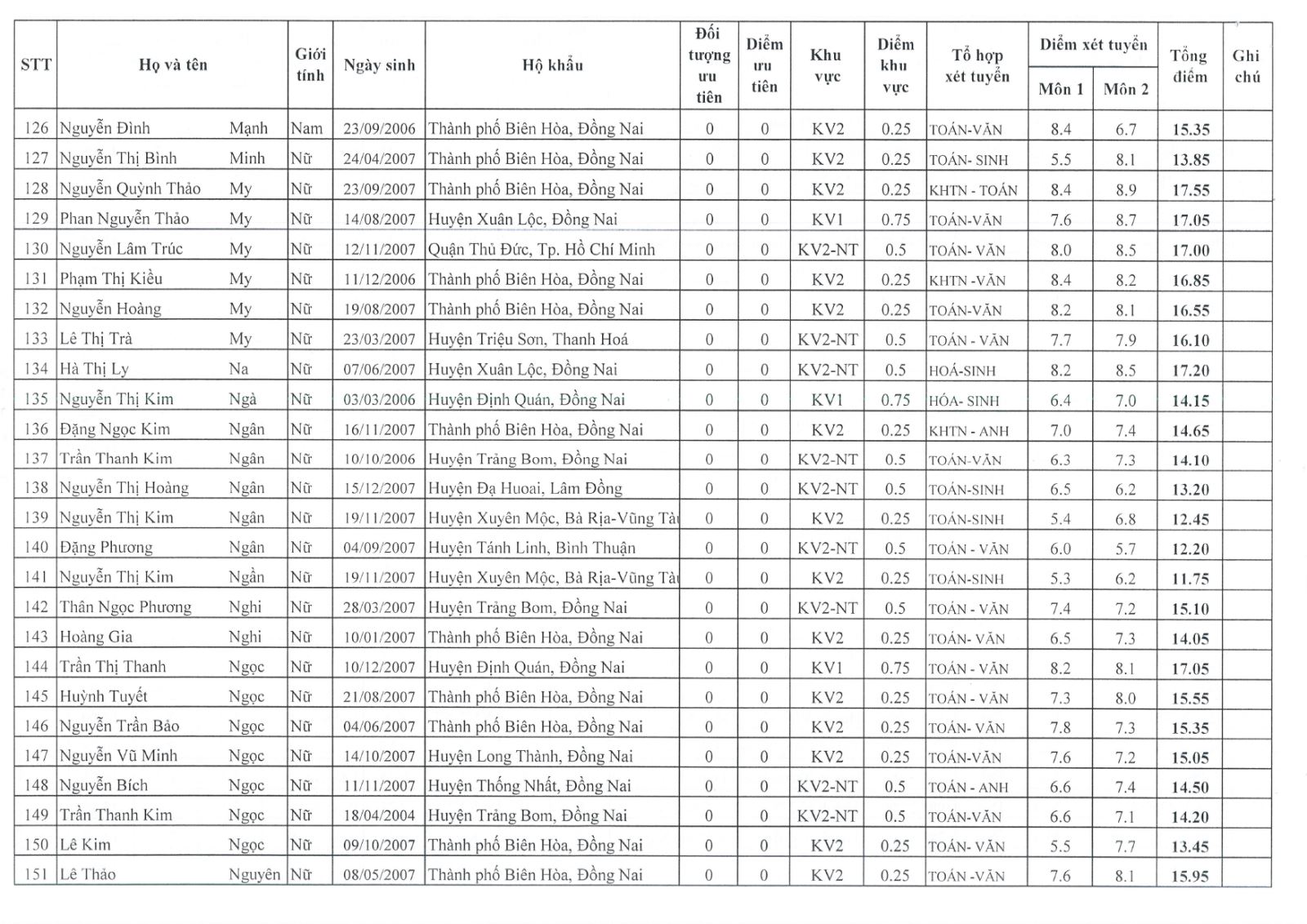
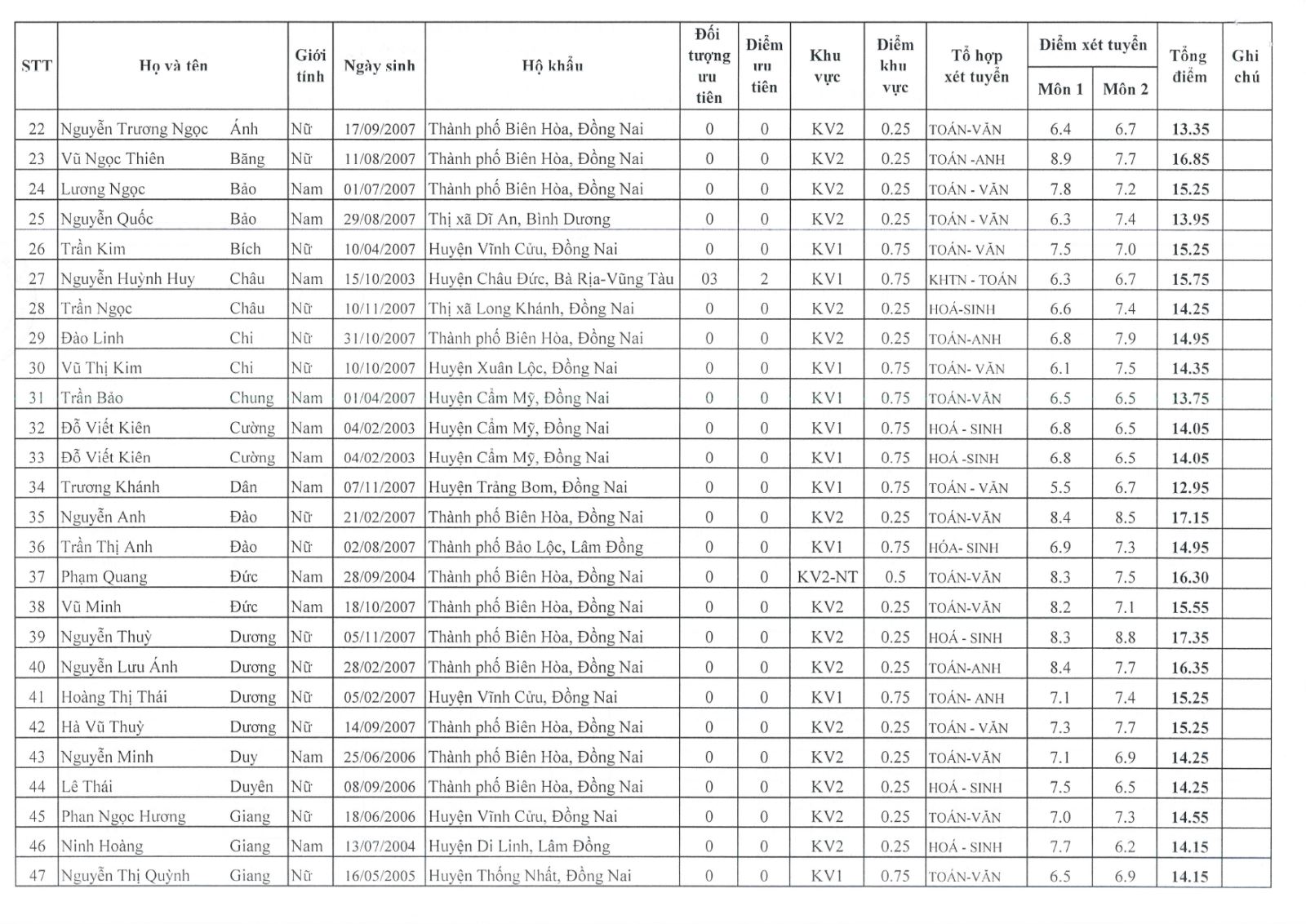
Sau đây là danh sách thí sinh trúng tuyển Cao đẳng chính quy năm 2025, lần 1 đợt 1 các ngành:
.jpg)
.jpg)
.jpg)
- NGÀNH PHỤC HỒI CHỨC NĂNG:
.jpg)
- NGÀNH XÉT NGHIỆM:
.jpg)
- NGÀNH HỘ SINH:
.jpg)
.jpg)
NGÀNH Y SĨ ĐA KHOA:
.jpg)